
November 6, 2025 by Qin Yusheng; Zhao Weiwei, Hefei Institutes of Physical Science, Chinese Academy of Sciences
Collected at: https://phys.org/news/2025-11-deep-roadside-air-pollutant-accuracy.html
A research team led by Prof. Li Xiangxian from the Anhui Institute of Optics and Fine Mechanics, the Hefei Institutes of Physical Science of the Chinese Academy of Sciences, has developed a new deep learning model that significantly enhances both the accuracy and interpretability of roadside air pollutant forecasting.
Their findings were recently published in Environmental Modelling & Software.
Urban road traffic emissions are a major source of air pollution, where pollutant evolution is shaped by complex, nonlinear interactions among meteorology, traffic behavior, and emissions. Traditional models struggle to ensure stable predictions under such variability, and although machine learning has advanced air-quality forecasting, many deep models still lack physical interpretability and fail to capture coupled pollutant dynamics.
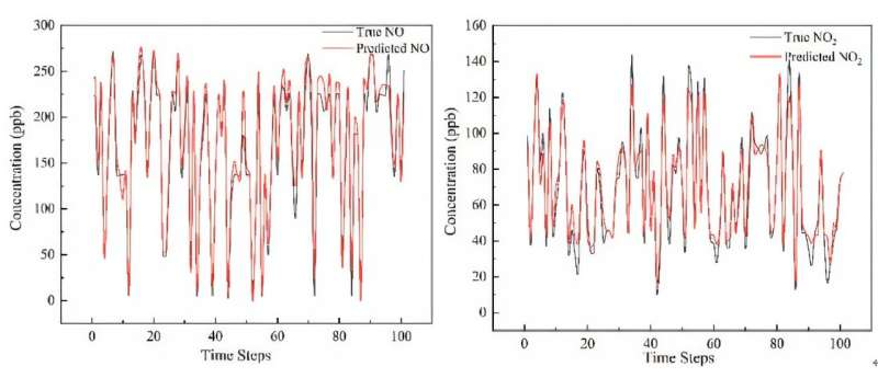
In this study, the team developed a novel Dynamic Shared and Task-specific Multi-head Attention Bidirectional Long Short-Term Memory (DSTMA-BLSTM) model. The framework integrates shared attention layers to extract common temporal patterns across pollutants, while task-specific attention heads capture the unique response characteristics of each pollutant. This architecture enables adaptive decomposition of shared and distinct features across pollutants, effectively enhancing model interpretability and robustness under complex traffic-meteorological coupling conditions.

Joint prediction results for NOx. Credit: Qin Yusheng
Experimental validation using real-world roadside monitoring data demonstrated that the proposed DSTMA-BLSTM algorithm achieved high predictive accuracy, with R² values exceeding 0.94 across major pollutants. Compared with conventional LSTM models, it reduced prediction errors by about 30%, showing remarkable stability and generalization capability.
These findings suggest that the DSTMA-BLSTM algorithm holds great promise for traffic emission monitoring, urban air-quality forecasting, and environmental decision support.
More information: Yusheng Qin et al, DSTMA-BLSTM algorithm for roadside air pollutant time series prediction and sensitivity analysis, Environmental Modelling & Software (2026). DOI: 10.1016/j.envsoft.2025.106730

Leave a Reply