Skip to content
OPDA-OKFB OPDA-OKFB

Open Knowledge Foundation Blog

Primary Menu
  • Home
  • OPDA
  • ODMO
  • Digital Collections
  • Discovery
  • Research Topics
    • Smart AI Platform [SAIP]
    • Data Analytic
    • Smart Climate Management
    • Cloud Computing
    • Smart Cloud Platform [SCLP]
    • Smart Communication Platform [SCOP]
    • Smart Digital Platform [SDIP]
    • IoT Platform
    • Optimization
      • Realtime/Online Optimization
    • Smart Business Platform [SBUP]
    • Novel Technology
    • Cosmos/Universe
    • Quantum
    • Smart-World
      • Smart Agriculture Platform [SAGP]
      • Smart City Platform [SCIP]
      • Smart Industry Platform [SINP]
      • Smart Environmental Platform [SENP]
      • Smart Energy Platform [SEGP]
  • Contact
  • Subscribers
  • Account
    • Login
    • Registration
    • ProfilePage
    • Member

Day: October 9, 2025

  • Home
  • 2025
  • October
  • 9
Nobel Prize in physics goes to 3 scientists whose work advanced quantum technology
General Research Physics Quantum

Nobel Prize in physics goes to 3 scientists whose work advanced quantum technology

October 9, 2025October 9, 2025 By : Hao Ha
Magnetic ‘switchback’ detected near Earth for the first time
Aerospace Discovery General Research

Magnetic ‘switchback’ detected near Earth for the first time

October 9, 2025October 9, 2025 By : Hao Ha
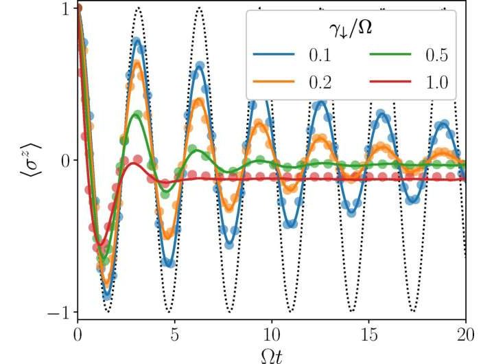
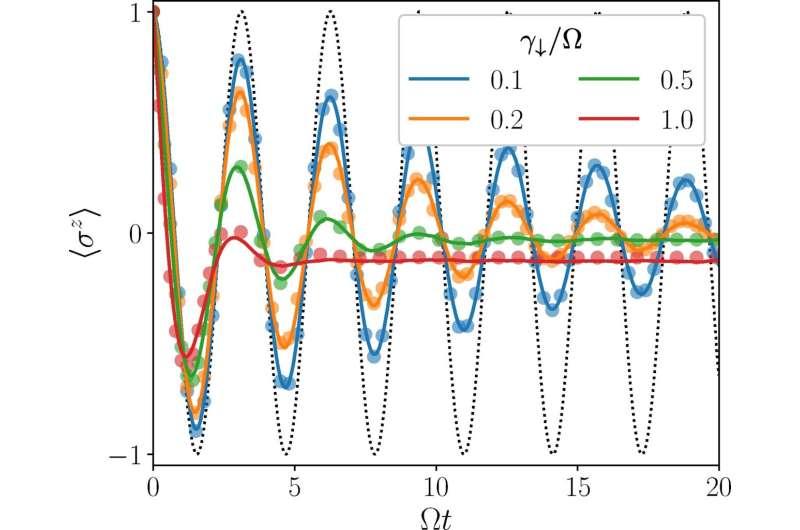
Quantum dynamics on your laptop? New technique moves us closer
General Research Physics Quantum

Quantum dynamics on your laptop? New technique moves us closer

October 9, 2025October 9, 2025 By : Hao Ha
Open Source Mega-Constellations Could Solve Overcrowding
Aerospace Discovery General Research

Open Source Mega-Constellations Could Solve Overcrowding

October 9, 2025October 9, 2025 By : Hao Ha
‘Squeezed light’ might be the secret to building the quantum internet
General Research Quantum Smart Communication Platform [SCOP]

‘Squeezed light’ might be the secret to building the quantum internet

October 9, 2025October 9, 2025 By : Hao Ha
This new printable aluminum is so strong that it could change aircraft design
General Research Smart Design Platform [SDEP] Smart-World

This new printable aluminum is so strong that it could change aircraft design

October 9, 2025October 9, 2025 By : Hao Ha
How to Manage IoT in the Operating Room
General Research IoT Platform Smart Digital Platform [SDIP] Smart Healthcare Platform [SHCP] Smart-World

How to Manage IoT in the Operating Room

October 9, 2025October 9, 2025 By : Hao Ha
Cyber defense innovation could significantly boost 5G network security
General Research Smart Communication Platform [SCOP] Smart-World

Cyber defense innovation could significantly boost 5G network security

October 9, 2025October 9, 2025 By : Hao Ha
Climate-smart housing design helps cities beat the heat
General Research Smart Design Platform [SDEP] Smart-World

Climate-smart housing design helps cities beat the heat

October 9, 2025October 9, 2025 By : Hao Ha
Novel AI tool opens 3D modeling to blind and low-vision programmers
General Research Smart AI Platform [SAIP] Smart-World

Novel AI tool opens 3D modeling to blind and low-vision programmers

October 9, 2025October 9, 2025 By : Hao Ha
Open-source tool predicts wind farm power fluctuations with greater short-term accuracy
General Research Smart Energy Platform [SEGP] Smart-World

Open-source tool predicts wind farm power fluctuations with greater short-term accuracy

October 9, 2025October 9, 2025 By : Hao Ha
How to reduce greenhouse gas emissions from ammonia production
General Research Smart Energy Platform [SEGP] Smart-World

How to reduce greenhouse gas emissions from ammonia production

October 9, 2025October 9, 2025 By : Hao Ha

Categories

OPDA Page

www.opdabusiness.com

Blogger – Long Dinh Nguyen

I am a person,
among 8 billion people on a planet (The Earth),
among 8 planets, orbiting a big-star (The Sun),
among 300 billion stars in a galaxy (The Milky),
among several trillion galaxies in a universe (our universe),
among infinite universes.

Contact

OPDA-OKFB

Open Knowledge Foundation Blog

Copyright All rights reserved
Theme: Perfect Magazine by Themematic
Crypto Casino
top casino online
Padişahbet Giriş
new online casino
Padişahbet Giriş
Padişahbet Güncel Giriş
casino online
Padişahbet
online curacao casino
Betnano Giriş