Skip to content
OPDA-OKFB OPDA-OKFB

Open Knowledge Foundation Blog

Primary Menu
  • Home
  • OPDA
  • ODMO
  • Digital Collections
  • Discovery
  • Research Topics
    • Smart AI Platform [SAIP]
    • Data Analytic
    • Smart Climate Management
    • Cloud Computing
    • Smart Cloud Platform [SCLP]
    • Smart Communication Platform [SCOP]
    • Smart Digital Platform [SDIP]
    • IoT Platform
    • Optimization
      • Realtime/Online Optimization
    • Smart Business Platform [SBUP]
    • Novel Technology
    • Cosmos/Universe
    • Quantum
    • Smart-World
      • Smart Agriculture Platform [SAGP]
      • Smart City Platform [SCIP]
      • Smart Industry Platform [SINP]
      • Smart Environmental Platform [SENP]
      • Smart Energy Platform [SEGP]
  • Contact
  • Subscribers
  • Account
    • Login
    • Registration
    • ProfilePage
    • Member

Day: August 2, 2025

  • Home
  • 2025
  • August
  • 2
Researchers harness AI-powered protein design to enhance T-cell based immunotherapies
General Research Smart AI Platform [SAIP] Smart Healthcare Platform [SHCP] Smart-World

Researchers harness AI-powered protein design to enhance T-cell based immunotherapies

August 2, 2025August 2, 2025 By : Hao Ha
Nanodevice uses sound to sculpt light, paving the way for better displays and imaging
General Research Physics

Nanodevice uses sound to sculpt light, paving the way for better displays and imaging

August 2, 2025August 2, 2025 By : Hao Ha
Landslide-prone Nepal tests AI-powered warning system
General Research Smart Climate Management Smart Environmental Platform [SENP] Smart-World

Landslide-prone Nepal tests AI-powered warning system

August 2, 2025August 2, 2025 By : Hao Ha
Life’s emergence from non-living matter found more complex than previously understood
Cosmos/Universe Discovery General Research

Life’s emergence from non-living matter found more complex than previously understood

August 2, 2025August 2, 2025 By : Hao Ha
Internal pair production could enable direct detection of dark matter
General Research Physics

Internal pair production could enable direct detection of dark matter

August 2, 2025August 2, 2025 By : Hao Ha
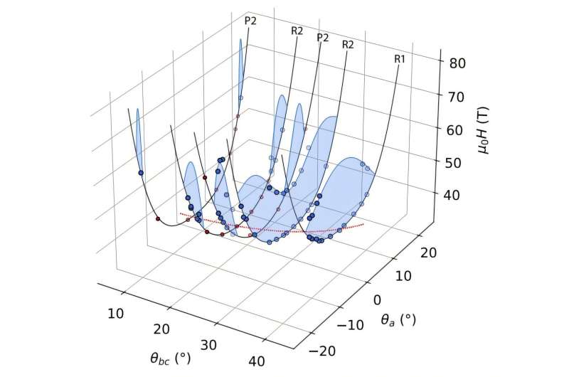
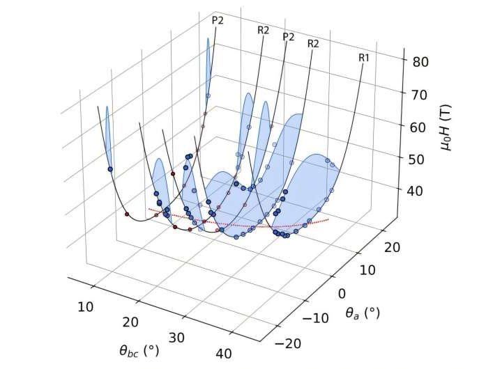
Superconductivity’s halo: Theoretical physicist helps map rare high-field phase
General Research Physics

Superconductivity’s halo: Theoretical physicist helps map rare high-field phase

August 2, 2025August 2, 2025 By : Hao Ha
AI reveals unexpected new physics in dusty plasma
General Research Physics Smart AI Platform [SAIP]

AI reveals unexpected new physics in dusty plasma

August 2, 2025August 2, 2025 By : Hao Ha
A quantum computer goes to space
Aerospace General Research Quantum

A quantum computer goes to space

August 2, 2025August 2, 2025 By : Hao Ha
Unlocking the Secrets of Our Galaxy’s Heart Using Magnetic Fields
Cosmos/Universe Discovery General Research

Unlocking the Secrets of Our Galaxy’s Heart Using Magnetic Fields

August 2, 2025August 2, 2025 By : Hao Ha
The AI-Driven Enterprise: Aligning Data Strategy with Business Goals
General Research Smart AI Platform [SAIP] Smart Business Platform [SBUP] Smart-World

The AI-Driven Enterprise: Aligning Data Strategy with Business Goals

August 2, 2025August 2, 2025 By : Hao Ha
Remote detection system developed for wind turbine blade damage
General Research Smart Energy Platform [SEGP] Smart-World

Remote detection system developed for wind turbine blade damage

August 2, 2025August 2, 2025 By : Hao Ha
New AI tool learns to read medical images with far less data
General Research Smart AI Platform [SAIP] Smart-World

New AI tool learns to read medical images with far less data

August 2, 2025August 2, 2025 By : Hao Ha

Categories

OPDA Page

www.opdabusiness.com

Blogger – Long Dinh Nguyen

I am a person,
among 8 billion people on a planet (The Earth),
among 8 planets, orbiting a big-star (The Sun),
among 300 billion stars in a galaxy (The Milky),
among several trillion galaxies in a universe (our universe),
among infinite universes.

Contact

OPDA-OKFB

Open Knowledge Foundation Blog

Copyright All rights reserved
Theme: Perfect Magazine by Themematic
Padişahbet Giriş
top casino online
Crypto Casino
Betnano Giriş
Padişahbet
new online casino
Padişahbet Giriş
Padişahbet Güncel Giriş
online curacao casino
casino online