Skip to content
OPDA-OKFB OPDA-OKFB

Open Knowledge Foundation Blog

Primary Menu
  • Home
  • OPDA
  • ODMO
  • Digital Collections
  • Discovery
  • Research Topics
    • Smart AI Platform [SAIP]
    • Data Analytic
    • Smart Climate Management
    • Cloud Computing
    • Smart Cloud Platform [SCLP]
    • Smart Communication Platform [SCOP]
    • Smart Digital Platform [SDIP]
    • IoT Platform
    • Optimization
      • Realtime/Online Optimization
    • Smart Business Platform [SBUP]
    • Novel Technology
    • Cosmos/Universe
    • Quantum
    • Smart-World
      • Smart Agriculture Platform [SAGP]
      • Smart City Platform [SCIP]
      • Smart Industry Platform [SINP]
      • Smart Environmental Platform [SENP]
      • Smart Energy Platform [SEGP]
  • Contact
  • Subscribers
  • Account
    • Login
    • Registration
    • ProfilePage
    • Member

Day: July 17, 2025

  • Home
  • 2025
  • July
  • 17
Astronomers Discover Rare Object in Perfect Sync with Neptune’s Orbit
Cosmos/Universe Discovery General Research

Astronomers Discover Rare Object in Perfect Sync with Neptune’s Orbit

July 17, 2025July 17, 2025 By : Hao Ha
Japan Just Set an Internet Speed Record That Will Blow Your Mind — 4 Million Times Faster Than the US Average
General Research Smart Communication Platform [SCOP] Smart-World

Japan Just Set an Internet Speed Record That Will Blow Your Mind — 4 Million Times Faster Than the US Average

July 17, 2025July 17, 2025 By : Hao Ha
Study suggests liquid brines could form on Mars’ surface during seasonal frost melting
Cosmos/Universe Discovery General Research

Study suggests liquid brines could form on Mars’ surface during seasonal frost melting

July 17, 2025July 17, 2025 By : Hao Ha
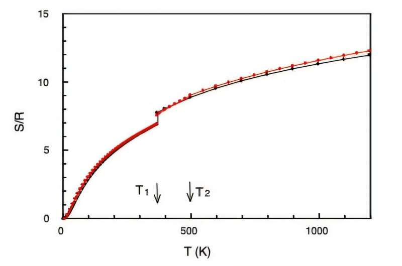
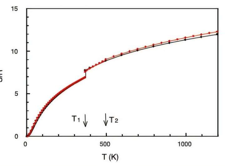
Universal method unlocks entropy calculation for liquids
General Research Physics

Universal method unlocks entropy calculation for liquids

July 17, 2025July 17, 2025 By : Hao Ha
2014 Nobel Prize idea used to reach super-resolution imaging, turning noise into data
General Research Physics

2014 Nobel Prize idea used to reach super-resolution imaging, turning noise into data

July 17, 2025July 17, 2025 By : Hao Ha
Scientists achieve first experimental observation of the transverse Thomson effect
General Research Physics

Scientists achieve first experimental observation of the transverse Thomson effect

July 17, 2025July 17, 2025 By : Hao Ha
A Star is Dissolving its Baby Planet
Cosmos/Universe Discovery General Research

A Star is Dissolving its Baby Planet

July 17, 2025July 17, 2025 By : Hao Ha
Milky Way’s hidden neighbors revealed
Cosmos/Universe Discovery General Research

Milky Way’s hidden neighbors revealed

July 17, 2025July 17, 2025 By : Hao Ha
Wastewater contaminants boost green hydrogen production
General Research Smart Energy Platform [SEGP] Smart-World

Wastewater contaminants boost green hydrogen production

July 17, 2025July 17, 2025 By : Hao Ha
Faster, smarter, more open: Study shows new algorithms accelerate AI models
General Research Smart AI Platform [SAIP] Smart-World

Faster, smarter, more open: Study shows new algorithms accelerate AI models

July 17, 2025July 17, 2025 By : Hao Ha
California farmers identify a hot new cash crop: Solar power
General Research Smart Energy Platform [SEGP] Smart-World

California farmers identify a hot new cash crop: Solar power

July 17, 2025July 17, 2025 By : Hao Ha
Battery sharing could cut energy costs for communities
General Research Smart Energy Platform [SEGP] Smart-World

Battery sharing could cut energy costs for communities

July 17, 2025July 17, 2025 By : Hao Ha

Categories

OPDA Page

www.opdabusiness.com

Blogger – Long Dinh Nguyen

I am a person,
among 8 billion people on a planet (The Earth),
among 8 planets, orbiting a big-star (The Sun),
among 300 billion stars in a galaxy (The Milky),
among several trillion galaxies in a universe (our universe),
among infinite universes.

Contact

OPDA-OKFB

Open Knowledge Foundation Blog

Copyright All rights reserved
Theme: Perfect Magazine by Themematic
Padişahbet
Padişahbet Giriş
Betnano Giriş
top casino online
Padişahbet Güncel Giriş
online curacao casino
casino online
Padişahbet Giriş
Crypto Casino
new online casino