
By Evan Gough – July 8, 2025
Collected at: https://www.universetoday.com/articles/dark-matter-could-create-dark-dwarfs-at-the-center-of-the-milky-way
Dark matter is one of Nature’s most confounding mysteries. It keeps particle physicists up at night and cosmologists glued to their supercomputer simulations. We know it’s real because its mass prevents galaxies from falling apart. But we don’t know what it is.
Dark matter doesn’t like other matter and may prefer its own company. While it doesn’t seem to interact with regular baryonic matter, it could possibly react with itself and self-annihilate. It needs a tightly-packed environment to do that, and that may lead to a way astrophysicists can finally detect it.
New theoretical research outlines how this could happen and states that sub-stellar objects, basically brown dwarfs, could host the process. The research is titled “Dark dwarfs: dark matter-powered sub-stellar objects awaiting discovery at the galactic center,” and it’s published in the Journal of Cosmology and Astroparticle Physics. The lead author is Djuna Croon, a theoretical physicist and assistant professor in the Institute for Particle Physics Phenomenology in the Department of Physics at Durham University.
Brown dwarfs are sub-stellar objects larger than planets but not massive enough to trigger hydrogen fusion. When brown dwarfs form, they follow the same process as stars. But unfortunately for them, their gas accretion stalls and stunts their growth. They can’t become massive enough to trigger hydrogen fusion and are doomed to a lifetime of dimness. They generate some heat by briefly fusing deuterium and through gravitational contraction, but they will never shine brightly like stars do. In terms of luminosity, they’re dimmer than white dwarfs but slightly brighter than gas giants like Jupiter. Over time, brown dwarfs cool down and become dimmer and dimmer. Brown dwarfs are notoriously difficult to detect due to their dimness and low mass.

An artist’s depiction of the relative sizes of the Sun, a low mass star, a brown dwarf, Jupiter, and the Earth. Sizes are to scale, but distances are not. Credit: Jupiter: NASA, ESA, and A. Simon (NASA, GSFC). Sun and Low-Mass Star: NASA, SDO. Brown Dwarf: NASA, ESA, and JPL-Caltech. Earth: NASA. Infographic: NASA and E. Wheatley (STScI).
Croon and her co-researchers suggest that dark matter annihilation could make some brown dwarfs detectable. Dark matter particles may be their own anti-particles and can annihilate one another when their density is high. According to E=mc2, their annihilation converts their mass to energy and produce particles from the Standard Model like photons, electrons, and positrons.
“Dark matter interacts gravitationally, so it could be captured by stars and accumulate inside them,” explained co-author Jeremy Sakstein in a press release. “If that happens, it might also interact with itself and annihilate, releasing energy that heats the star.” Sakstein is Professor of Physics at the University of Hawai‘i.
There’s more dark matter near the galactic center, and the authors think this is where enough of it can accumulate in brown dwarfs for self-annihilation to occur. When this happens, it creates another type of sub-stellar object: dark dwarfs.
“These objects collect the dark matter that helps them become a dark dwarf. The more dark matter you have around, the more you can capture,” Sakstein explains. “And, the more dark matter ends up inside the star, the more energy will be produced through its annihilation.”
There are many candidate particles for dark matter. One of them is Weakly Interacting Massive Particles (WIMPs), and this theoretical model only works if WIMPs are indeed what dark matter is. “For dark dwarfs to exist, dark matter has to be made of WIMPs, or any heavy particle that interacts with itself so strongly to produce visible matter,” Sakstein says.
“Observing a dark dwarf wouldn’t conclusively tell us that dark matter is a WIMP, but it would mean that it is either a WIMP or something that, for all intents and purposes, behaves like a WIMP.” – Jeremy Sakstein, co-author, University of Hawaii.
If we can detect these dark dwarfs, we’re basically detecting dark matter. Detection relies on Lithium-7, a naturally-occurring lithium isotope that is the most abundant and stable of all lithium isotopes. Normal brown dwarfs would deplete their lithium-7 while dark dwarfs would preserve it.
“DDs are physically distinct from brown/red dwarfs in several ways,” the authors write. They’re slightly more massive, and are predominantly powered by DM annihilation, with an added component of stable hydrogen fusion. Their luminosities, radii, and effective temperatures are constant through time. The authors also explain that these dark dwarfs would retain their lithium while it would be depleted by nuclear burning in brown dwarfs.
“The lithium test is a primary method for confirming that an object is a brown dwarf,” the researchers write. Astronomers use lithium lines in stellar spectra to trace the core temperature histories of brown dwarfs and young stars and to determine what evolutionary epoch they’re in.
“The detection of lithium-7 in objects heavier than the lithium burning limit would provide evidence for the existence of DM heating,” the researchers write in their paper. “A consequence of this is that DDs can be identified by their enhanced lithium abundance despite a relatively large mass, and old stellar age.” They also show that the amount of lithium retained over time is a function of mass and dark matter densities.

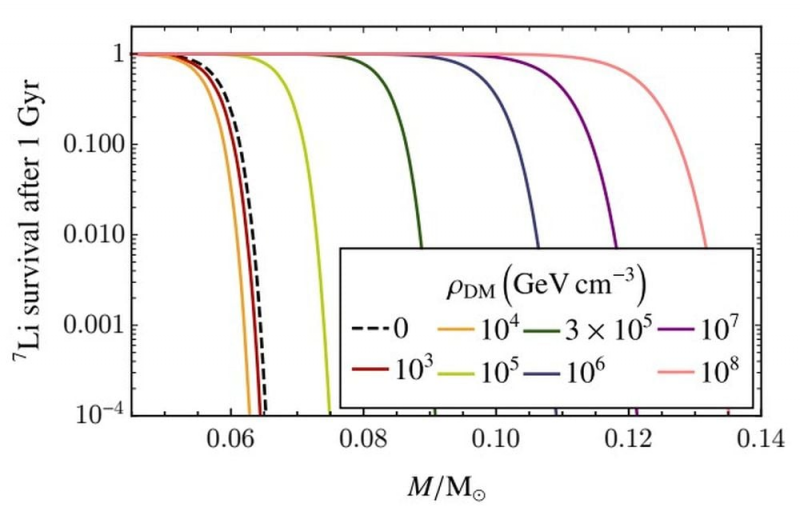
This figure shows Lithium survival after one billion years as a function of mass for different DM densities. “Therefore, given an observed mass and estimated age, the spectroscopic detection of lithium can serve as a marker for DM heating,” the researchers write in their paper. Image Credit: Croon et al. 2025. Journal of Cosmology and Astroparticle Physics
“There were a few markers, but we suggested the Lithium-7 because it would really be a unique effect,” Sakstein explained. Ordinary stars quickly consume Lithium-7. “So if you were able to find an object which looked like a dark dwarf, you could look for the presence of this lithium because it wouldn’t be there if it was a brown dwarf or a similar object.”
Dark dwarfs are extremely cold objects, and while the JWST may be able to detect them, there may be another way, according to Sakstein. “The other thing you could do is to look at a whole population of objects and ask, in a statistical manner, if it is better described by having a sub-population of dark dwarfs or not.”
Finding dark dwarfs would go a long way to answering the question about the nature of dark matter. If we could detect some dark dwarfs, it would bolster the idea that dark matter is WIMPs.
“With light dark matter candidates, something like an axion, I don’t think you’d be able to get something like a dark dwarf,” said Sakstein. “They don’t accumulate inside stars. If we manage to find a dark dwarf, it would provide compelling evidence that dark matter is heavy, interacts strongly with itself, but only weakly with the Standard Model. This includes classes of WIMPs, but it would include some other more exotic models as well,” concludes Sakstein.
“Observing a dark dwarf wouldn’t conclusively tell us that dark matter is a WIMP, but it would mean that it is either a WIMP or something that, for all intents and purposes, behaves like a WIMP.”

Leave a Reply