Skip to content
OPDA-OKFB OPDA-OKFB

Open Knowledge Foundation Blog

Primary Menu
  • Home
  • OPDA
  • ODMO
  • Digital Collections
  • Discovery
  • Research Topics
    • Smart AI Platform [SAIP]
    • Data Analytic
    • Smart Climate Management
    • Cloud Computing
    • Smart Cloud Platform [SCLP]
    • Smart Communication Platform [SCOP]
    • Smart Digital Platform [SDIP]
    • IoT Platform
    • Optimization
      • Realtime/Online Optimization
    • Smart Business Platform [SBUP]
    • Novel Technology
    • Cosmos/Universe
    • Quantum
    • Smart-World
      • Smart Agriculture Platform [SAGP]
      • Smart City Platform [SCIP]
      • Smart Industry Platform [SINP]
      • Smart Environmental Platform [SENP]
      • Smart Energy Platform [SEGP]
  • Contact
  • Subscribers
  • Account
    • Login
    • Registration
    • ProfilePage
    • Member

Month: May 2025

  • Home
  • 2025
  • May
Warming climate may flip the script on the amount of CO₂ released by trees, study finds
General Research Smart Climate Management Smart Environmental Platform [SENP] Smart-World

Warming climate may flip the script on the amount of CO₂ released by trees, study finds

May 31, 2025May 31, 2025 By : Hao Ha
Unveiling the birth of star cluster groups in the Milky Way
Cosmos/Universe Discovery General Research

Unveiling the birth of star cluster groups in the Milky Way

May 31, 2025May 31, 2025 By : Hao Ha
From infinite past to future: Simulation tracks complete journey of gravitational wave through black hole spacetime
Cosmos/Universe Discovery General Research

From infinite past to future: Simulation tracks complete journey of gravitational wave through black hole spacetime

May 31, 2025May 31, 2025 By : Hao Ha
Analytical model clarifies exciton dynamics to improve OLED efficiency and lifespan
General Research Physics

Analytical model clarifies exciton dynamics to improve OLED efficiency and lifespan

May 31, 2025May 31, 2025 By : Hao Ha
Origami structures unfold into seamless surfaces for deployable applications
General Research Physics

Origami structures unfold into seamless surfaces for deployable applications

May 31, 2025May 31, 2025 By : Hao Ha
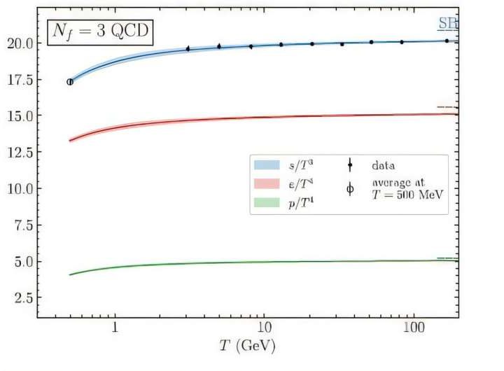
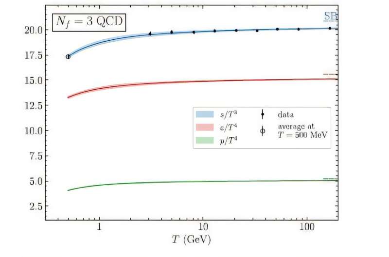
New research determines the thermodynamic properties of the quark gluon plasma
General Research Physics

New research determines the thermodynamic properties of the quark gluon plasma

May 31, 2025May 31, 2025 By : Hao Ha
The Habitability of Earth Tells Us the Likelihood of Finding Life Elsewhere
Cosmos/Universe Discovery General Research

The Habitability of Earth Tells Us the Likelihood of Finding Life Elsewhere

May 31, 2025May 31, 2025 By : Hao Ha
How IoT Will Speed Up and Cut Costs in Logistics for 2025
General Research IoT Platform Logistic management Smart-World

How IoT Will Speed Up and Cut Costs in Logistics for 2025

May 31, 2025May 31, 2025 By : Hao Ha
Accelerating the arrival of fault-tolerant quantum computers with next-generation materials
General Research Physics Quantum

Accelerating the arrival of fault-tolerant quantum computers with next-generation materials

May 31, 2025May 31, 2025 By : Hao Ha
Clustering-based approach accelerates AI learning in robotics and gaming
Computer Science General Research Smart AI Platform [SAIP] Smart-World

Clustering-based approach accelerates AI learning in robotics and gaming

May 31, 2025May 31, 2025 By : Hao Ha
AI approach developed with human decision-makers in mind
Computer Science General Research Smart AI Platform [SAIP] Smart-World

AI approach developed with human decision-makers in mind

May 31, 2025May 31, 2025 By : Hao Ha
Green technology uses corn stover to produce high-value bioderivatives and generate savings
General Research Smart Energy Platform [SEGP] Smart-World

Green technology uses corn stover to produce high-value bioderivatives and generate savings

May 31, 2025May 31, 2025 By : Hao Ha
Gender-sensitive data bring more depth to marine spatial planning
General Research Smart Environmental Platform [SENP] Smart-World

Gender-sensitive data bring more depth to marine spatial planning

May 30, 2025May 30, 2025 By : Hao Ha
The hunt for mysterious ‘Planet Nine’ offers up a surprise
Cosmos/Universe Discovery General Research

The hunt for mysterious ‘Planet Nine’ offers up a surprise

May 30, 2025May 30, 2025 By : Hao Ha
Listening to electrons ‘talk’: Lithium-like tin’s g-factor measured with 0.5 parts per billion experimental accuracy
General Research Physics

Listening to electrons ‘talk’: Lithium-like tin’s g-factor measured with 0.5 parts per billion experimental accuracy

May 30, 2025May 30, 2025 By : Hao Ha
A new method to generate muons with ultra-short high-intensity lasers
General Research Physics

A new method to generate muons with ultra-short high-intensity lasers

May 30, 2025May 30, 2025 By : Hao Ha
Robots could remotely assemble megastructures in space, Space Solar and UKAEA project shows
Aerospace Discovery General Research

Robots could remotely assemble megastructures in space, Space Solar and UKAEA project shows

May 30, 2025May 30, 2025 By : Hao Ha
Did a Large Impact on the Moon Make its Rocks Magnetic?
Cosmos/Universe Discovery General Research

Did a Large Impact on the Moon Make its Rocks Magnetic?

May 30, 2025May 30, 2025 By : Hao Ha
Could Satellites Endanger Radio Astronomy?
Aerospace Discovery General Research

Could Satellites Endanger Radio Astronomy?

May 30, 2025May 30, 2025 By : Hao Ha
How IoT Can Change the Gaming Industry
General Research IoT Platform Smart Digital Platform [SDIP] Smart-World

How IoT Can Change the Gaming Industry

May 30, 2025May 30, 2025 By : Hao Ha
Cloud Security Challenges That Begin and End With API Management
General Research Smart Cloud Platform [SCLP] Smart-World

Cloud Security Challenges That Begin and End With API Management

May 30, 2025May 30, 2025 By : Hao Ha
AI learns languages similarly to humans, study shows
General Research Smart AI Platform [SAIP] Smart-World

AI learns languages similarly to humans, study shows

May 30, 2025May 30, 2025 By : Hao Ha
Geopolymer technology turns recycled glass and construction waste into a durable and green construction material
General Research Novel Technology Smart Energy Platform [SEGP]

Geopolymer technology turns recycled glass and construction waste into a durable and green construction material

May 30, 2025May 30, 2025 By : Hao Ha
Weaponized storytelling: How AI is helping researchers sniff out disinformation campaigns
General Research Smart AI Platform [SAIP] Smart-World

Weaponized storytelling: How AI is helping researchers sniff out disinformation campaigns

May 30, 2025May 30, 2025 By : Hao Ha
Communities hold the key to tackling plastic pollution, say researchers
General Research Smart Environmental Platform [SENP] Smart-World

Communities hold the key to tackling plastic pollution, say researchers

May 29, 2025May 29, 2025 By : Hao Ha
Drones and genetics team up for drought-smart wheat
General Research Smart Agriculture Platform [SAGP] Smart-World

Drones and genetics team up for drought-smart wheat

May 29, 2025May 29, 2025 By : Hao Ha
The importance of gravitational waves
Cosmos/Universe Discovery General Research

The importance of gravitational waves

May 29, 2025May 29, 2025 By : Hao Ha
Solitonic superfluorescence paves way for high-temperature quantum materials
General Research Physics

Solitonic superfluorescence paves way for high-temperature quantum materials

May 29, 2025May 29, 2025 By : Hao Ha
Twisting light for memory: New chiral photonic device enables real-time control of light polarization and data storage
General Research Physics

Twisting light for memory: New chiral photonic device enables real-time control of light polarization and data storage

May 29, 2025May 29, 2025 By : Hao Ha
Superconducting diode bridge efficiently converts AC to DC for quantum circuits
General Research Physics

Superconducting diode bridge efficiently converts AC to DC for quantum circuits

May 29, 2025May 29, 2025 By : Hao Ha
Will Europa Become a New Habitable World When the Sun Becomes a Red Giant?
Cosmos/Universe Discovery General Research

Will Europa Become a New Habitable World When the Sun Becomes a Red Giant?

May 29, 2025May 29, 2025 By : Hao Ha
Passing Stars Could Have a Significant Impact on the Future of our Solar System
Cosmos/Universe Discovery General Research

Passing Stars Could Have a Significant Impact on the Future of our Solar System

May 29, 2025May 29, 2025 By : Hao Ha
Clouds Could Enhance the Search for Life on Exoplanets
Cosmos/Universe Discovery General Research

Clouds Could Enhance the Search for Life on Exoplanets

May 29, 2025May 29, 2025 By : Hao Ha
AI-powered manufacturing cuts battery defects and costs
General Research Smart AI Platform [SAIP] Smart Manufacturing Smart-World

AI-powered manufacturing cuts battery defects and costs

May 29, 2025May 29, 2025 By : Hao Ha
What is AI slop? Why you are seeing more fake photos and videos in your social media feeds
General Research Smart AI Platform [SAIP] Smart-World

What is AI slop? Why you are seeing more fake photos and videos in your social media feeds

May 29, 2025May 29, 2025 By : Hao Ha
AI-augmented models improve chemical grouting predictions in complex soils
General Research Smart AI Platform [SAIP] Smart-World

AI-augmented models improve chemical grouting predictions in complex soils

May 29, 2025May 29, 2025 By : Hao Ha
New method to monitor sewage pollution in rivers
General Research Smart Climate Management Smart Environmental Platform [SENP] Smart-World

New method to monitor sewage pollution in rivers

May 28, 2025May 28, 2025 By : Hao Ha
Predicting underwater landslides before they strike
General Research Smart Climate Management Smart Environmental Platform [SENP] Smart-World

Predicting underwater landslides before they strike

May 28, 2025May 28, 2025 By : Hao Ha
Study reinvestigates the properties of globular cluster NGC 1754
Aerospace Discovery General Research

Study reinvestigates the properties of globular cluster NGC 1754

May 28, 2025May 28, 2025 By : Hao Ha
Record-breaking performance in data security achieved with quantum mechanics
General Research Physics

Record-breaking performance in data security achieved with quantum mechanics

May 28, 2025May 28, 2025 By : Hao Ha
A new method to control the rovibrational ground state of a single molecular hydrogen ion
General Research Physics

A new method to control the rovibrational ground state of a single molecular hydrogen ion

May 28, 2025May 28, 2025 By : Hao Ha
New high-resolution laser device reads millimeter-scale text from a mile away
General Research Physics

New high-resolution laser device reads millimeter-scale text from a mile away

May 28, 2025May 28, 2025 By : Hao Ha
One Star Once Orbited Inside the Other in this Bizarre Binary System.
Cosmos/Universe Discovery General Research

One Star Once Orbited Inside the Other in this Bizarre Binary System.

May 28, 2025May 28, 2025 By : Hao Ha
Best Practices for Building IIoT Energy Monitoring Applications
General Research IoT Platform Smart Digital Platform [SDIP] Smart-World

Best Practices for Building IIoT Energy Monitoring Applications

May 28, 2025May 28, 2025 By : Hao Ha
Cool computing—why the future of electronics could lie in the cold
General Research Novel Technology

Cool computing—why the future of electronics could lie in the cold

May 28, 2025May 28, 2025 By : Hao Ha
GPT-4 matches human performance on analogical reasoning tasks, study shows
General Research Smart AI Platform [SAIP] Smart-World

GPT-4 matches human performance on analogical reasoning tasks, study shows

May 28, 2025May 28, 2025 By : Hao Ha
Researchers design cryogenic hydrogen storage and delivery system for next-generation aircraft
General Research Smart Energy Platform [SEGP] Smart-World

Researchers design cryogenic hydrogen storage and delivery system for next-generation aircraft

May 28, 2025May 28, 2025 By : Hao Ha
Multimodality as the next big leap for AI
General Research Smart AI Platform [SAIP] Smart-World

Multimodality as the next big leap for AI

May 28, 2025May 28, 2025 By : Hao Ha
Is Venus hiding dangerous asteroids?
Cosmos/Universe Discovery General Research

Is Venus hiding dangerous asteroids?

May 27, 2025May 27, 2025 By : Hao Ha
Navigating growth: Researchers use blockchain and AI to reclaim Europe’s inland waterways
General Research Smart AI Platform [SAIP] Smart Digital Platform [SDIP] Smart-World

Navigating growth: Researchers use blockchain and AI to reclaim Europe’s inland waterways

May 27, 2025May 27, 2025 By : Hao Ha

Posts pagination

1 2 … 8 Next

Categories

OPDA Page

www.opdabusiness.com

Blogger – Long Dinh Nguyen

I am a person,
among 8 billion people on a planet (The Earth),
among 8 planets, orbiting a big-star (The Sun),
among 300 billion stars in a galaxy (The Milky),
among several trillion galaxies in a universe (our universe),
among infinite universes.

Contact

OPDA-OKFB

Open Knowledge Foundation Blog

Copyright All rights reserved
Theme: Perfect Magazine by Themematic
Padişahbet Giriş
casino online
Padişahbet Güncel Giriş
Betnano Giriş
Padişahbet
Padişahbet Giriş
online curacao casino
Crypto Casino
top casino online
new online casino