
JUNE 25, 2024 BY EVAN GOUGH
The quest to understand dark matter has taken many twists and turns. It’s a scientific tale but also a human one. We know there’s a missing mass problem, but astrophysicists and cosmologists can’t figure out what the missing matter is. One of the most interesting potential solutions is primordial black holes (PBHs).
However, new research suggests that PBHs can only make up a small portion of dark matter if any at all.
The search for dark matter has mostly focused on a new type of undiscovered elementary particles like Weakly Interacting Massive Particles (WIMPS.) But those searches have proven fruitless.
“The nature of dark matter remains a mystery. Most scientists think it is composed of unknown elementary particles,” said Dr. Przemek Mróz from the University of Warsaw’s Astronomical Observatory. Mróz is the lead author of new research into PBHs and dark matter. “Unfortunately, despite decades of efforts, no experiment, including experiments carried out with the Large Hadron Collider, has found new particles that could be responsible for dark matter.”
However, there may be other explanations for dark matter, including primordial black holes.

This artist’s illustration shows what primordial black holes might look like. In reality, the black holes would struggle to form accretion disks, as shown. Image Credit: NASA’s Goddard Space Flight Center
In this case, the effort to understand dark matter entails looking back in time to the Universe’s formative years. But the further we look back to that dimly-lit period, the more we rely on theory. This is where we find primordial black holes.
PBHs are only theoretical at this point. In the early Universe, physics was different, and it may have allowed dense pockets of matter to collapse directly into black holes without a stellar progenitor. However, finding these ancient black holes has proven difficult.
The LIGO-Virgo collaboration has been monitoring black hole mergers since 2015 and detecting them via their gravitational waves. That data shows that the black holes detected by LIGO-Virgo are more massive than other black holes detected in the Milky Way. They’re between about 20 to 100 solar masses versus 5 to 20 solar masses.
“Explaining why these two populations of black holes are so different is one of the biggest mysteries of modern astronomy,” Dr. Mróz emphasized.
Can LIGO-Virgo’s results be explained by PBHs? As we’ve detected more gravitational waves, physicists have wondered if some of them are evidence of merging PBHs.
“The gravitational wave detectors have unveiled a population of massive black holes that do not resemble those observed in the Milky Way and whose origin is debated,” Mróz and his co-authors write in their paper. If these are PBHs, they “… should comprise from several to 100% of dark matter to explain the observed black hole merger rates.”
Fortunately, Nature has generously provided a way for us to search for these elusive ancient black holes. It was ole Bert Einstein who first indicated it might be possible to detect them due to the fact that mass warps space-time and bends light. If these PBHs are in the Milky Way’s halo, then gravitational microlensing should detect them. In fact, according to the authors, they should cause gravitational microlensing events that last for years.
This is where the Polish OGLE observing program comes in. OGLE stands for Optical Gravitational Lensing Experiment. It began in 1992 and is a long-term observing program that repeatedly examines the same regions of the sky for changes. OGLE has found exoplanets and variable stars and has contributed to our understanding of the Milky Way in other ways.
OGLE recently released 20 years of observational data of almost 80 million stars in the Large Magellanic Cloud, a satellite galaxy of the Milky Way. The data is from 2001 to 2020 and includes the search for gravitational microlensing events.
“Microlensing occurs when three objects – an observer on Earth, a source of light, and a lens – virtually ideally align in space,” said Prof. Andrzej Udalski, the principal investigator of the OGLE project, in a press release. “During a microlensing event, the source’s light may be deflected and magnified, and we observe a temporary brightening of the source’s light.”
The researchers’ calculations explain what OGLE should’ve found if PBHs are dark matter.

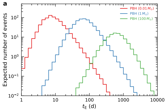
This figure from the research shows the number of expected microlensing events detected by OGLE, assuming that the entire dark matter was composed of PBHs of 0.01 (red), 1 (blue), and 100 solar masses (green). The y-axis shows their Einstein timescale, or how long each type of event should last. Image Credit: Mróz et al. 2024.
“If the entire dark matter in the Milky Way was composed of black holes of 10 solar masses, we should have detected 258 microlensing events. For 100 solar mass black holes, we expected 99 microlensing events. For 1000 solar mass black holes – 27 microlensing events,” Dr Mróz explained in a press release.
Since OGLE is so sensitive, it should’ve also found more low-mass microlensing events. “Our experiment has the highest sensitivity to PBHs with masses of 0.01 M ; we should have detected more than 1100 events if the entire dark matter were composed of such objects,” the authors write in their paper.
OGLE found 13 microlensing events, but none of them lasted longer than one year. The results seem to rule PBHs out as dark matter. Their analysis shows that all 13 can be explained by known stellar populations in both the Milky Way and the Large Magellanic Cloud.
“Our observations indicate that primordial black holes cannot comprise a significant fraction of the dark matter and, simultaneously, explain the observed black hole merger rates measured by LIGO and Virgo. The results we obtained will remain in astronomy textbooks for decades to come,” Prof. Udalski said.
Unfortunately, textbook chapters on Dark Matter will remain inconclusive. Maybe some of the young people reading those chapters will eventually find the answer.

Leave a Reply