
By Evan Gough – August 8, 2025
Collected at: https://www.universetoday.com/articles/this-white-dwarf-merged-with-another-star-to-form-an-ultra-massive-white-dwarf
White dwarfs are remnants of main sequence stars like our Sun that have depleted their hydrogen. Their lives of fusion have come to an end, and they’ll simmer with residual heat for trillions of years. Their lifespans are longer than the current age of the Universe.
White dwarfs are fascinating objects for several reasons. About 97% of stars will become white dwarfs so they have a lot to teach us about stellar evolution. Since they cool at predictable rates, they serve as timekeepers, helping astronomers determine the ages of the stellar clusters they reside in. They also sometimes explode as Type 1a supernovae, which serve as standard candles in the cosmic distance ladder. Last but not least, they’re extreme objects that allow astrophysicists to test things like theories of quantum mechanics.
White dwarfs aren’t all the same. The Chandrasekhar limit sets the upper mass limit for white dwarfs at about 1.44 solar masses. Above that, they can’t support their own mass and either explode or collapse into neutron stars. Most white dwarfs are well below that, and only rare ones are above one solar mass. These are called high-mass white dwarfs.
One known high-mass white dwarf is called WD 0525+526. It’s about 130 light-years away and is 20% more massive than the Sun. New research based on UV data from the Hubble Space Telescope suggests that the white dwarf is the result of a merger with another star.
The new research is titled “A hot white dwarf merger remnant revealed by an ultraviolet detection of carbon.” It’s published in Nature Astronomy and the lead author is Dr. Snehalata Snahu, a Research Fellow at the University of Warwick in the UK.
WD 0525+526 is different from other white dwarfs not only because of its higher mass. It’s chemistry is also different.
White dwarfs are typically composed of carbon and oxygen cores, with atmospheres dominated by either hydrogen or helium. When astronomers detect metals in a white dwarf’s atmosphere, meaning any element heavier than hydrogen or helium, they take notice. It can mean that the white dwarf has engulfed a planetesimal.
But astronomers know of six high-mass white dwarfs that have some puzzling features. They have hydrogen-dominated atmospheres with signs of only tiny amounts of carbon that’s likely dredged up from the core by convection. These stars could be the results of stellar mergers and are called DAQ white dwarfs.
“Finding clear evidence of mergers in individual white dwarfs is rare.” – Professor Boris Gänsicke, Department of Physics, University of Warwick.
“These rare white dwarfs likely originate from stellar mergers, making them ‘smoking guns’ for one of the binary evolution channels leading to thermonuclear supernovae,” the authors write. (A thermonuclear supernova is a Type 1a supernova.) “However, optical spectroscopy can uncover only the most carbon-enriched objects, suggesting that many more merger remnants may masquerade as normal pure-hydrogen-atmosphere white dwarfs.”
While optical spectroscopy struggles to detect fainter carbon signals, UV does not. In this research, the astronomers used the Hubble’s UV-sensing capability to examine WD 0525+526.
“In optical light (the kind of light we see with our eyes), WD 0525+526 looks like a heavy but otherwise ordinary white dwarf,” said first author Dr. Snehalata Sahu in a press release. “However, through ultraviolet observations obtained with Hubble, we were able to detect faint carbon signatures that were not visible to optical telescopes.”

This figure places WD 0525+526 in context with the six other known hydrogen-rich ultra-massive white dwarfs. WD 0525+526 is indicated by a red star, while the six published white dwarfs with spectral type DAQ (hydrogen and carbon lines present) are shown as blue circles. Panel b shows the carbon abundances of the stars, measured by log(C/H) in spectroscopy. It represents the logarithmic ratio of carbon to hydrogen. WD 0525+526 is significantly lower in carbon. Image Credit: Snahu et al. 2025. NatAst.
“Finding small amounts of carbon in the atmosphere is a tell-tale sign that this massive white dwarf is likely to be the remnant of a merger between two stars colliding,” said Dr. Snahu. “It also tells us there may be many more merger remnants like this masquerading as common pure-hydrogen atmosphere white dwarfs. Only ultraviolet observations would be able to reveal them to us.”
A white dwarf’s thick hydrogen and helium atmospheres keep the core tightly-wrapped. There’s very little convection in white dwarfs, since they’re supported not by thermal pressure but by electron degeneracy pressure. What convection they do experience is weak and limited to the thin atmospheric levels near their surfaces. This means that it’s very difficult for a white dwarf to dredge carbon up from its core.
But when a white dwarf merges with another star, the hydrogen and helium layers are almost completely burned off. The resulting star has only a very thin layer of hydrogen and helium, and carbon can now be dredged up from the star’s interior. This describes WD 0525+526.

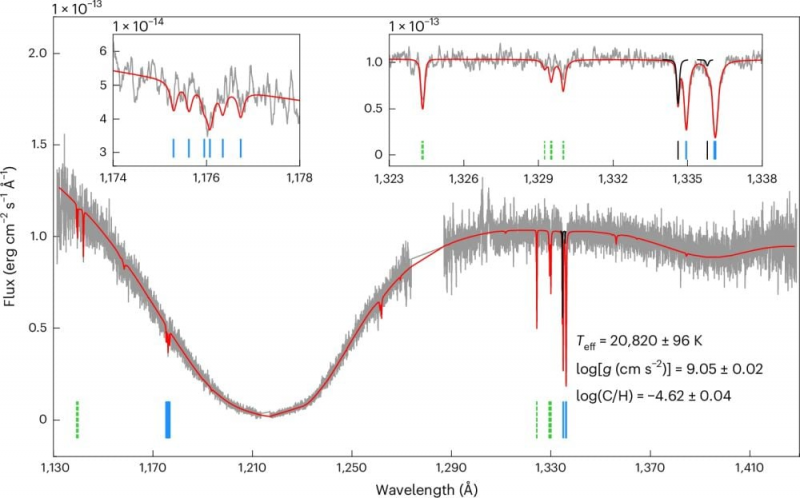
This figure shows the spectrum of WD 0525+526. It corroborates the white dwarf’s hydrogen atmosphere, and also shows the presence of carbon. Blue lines represent strong carbon transitions and green dashed lines represent weaker ones or ones with less convincing data. The insets provide close-ups of the C III (left) and C II (right) lines that were used to determine the photospheric carbon abundance. Image Credit: Snahu et al. 2025. NatAst.
Co-first author Antoine Bédard, also from Warwick University, said “We measured the hydrogen and helium layers to be ten-billion times thinner than in typical white dwarfs. We think these layers were stripped away in the merger, and this is what now allows carbon to appear on the surface.”
“But this remnant is also unusual: it has about 100,000 times less carbon on its surface compared to other merger remnants. The low carbon level, together with the star’s high temperature (nearly four times hotter than the Sun), tells us WD 0525+526 is much earlier in its post-merger evolution than those previously found. This discovery helps us build a better understanding of the fate of binary star systems, which is critical for related phenomena like supernova explosions.”
Astrophysicists don’t expect carbon to reach the surface of a star so hot. That can happen later in the post-merger, when the star has cooled and convection can act more efficiently to dredge carbon to the surface where it’s visible. Instead, the researchers identified a type of convective mixing called semi-convection taking place in the star. Semi-convection can allow some carbon to penetrate the outer layers and reach the surface, and this is the first time it’s been observed in a white dwarf. It creates much slower mixing than regular convection, and is only partial; it doesn’t create homogenization. Semi-convection takes place in stars other than white dwarfs, too, but is very difficult to model.

This figure shows semi-convection delivers less carbon to the white dwarf’s upper layers than regular convection. Red represents hydrogen, blue represents helium, and green represents carbon. Semi-convection allows a thin hydrogen-helium shell to float on WD 0525+526’s surface, which explains why this red dwarf has less surface carbon than cooler DAQ stars observed long after their mergers. Image Credit: Snahu et al. 2025. NatAst.
“Finding clear evidence of mergers in individual white dwarfs is rare,” added Professor Boris Gänsicke, Department of Physics, University of Warwick, who obtained the Hubble data for this study. “But ultraviolet spectroscopy gives us the ability to detect these signs early, when the carbon is still invisible at optical wavelengths. Because the Earth’s atmosphere blocks ultraviolet light, these observations must be carried out from space, and currently only Hubble can do this job.”
The authors note that there are other potential explanations for the carbon observed on WD 0525+526′ surface. “Another possible source of photospheric carbon is accretion of material from the ISM, a disrupted planetary system or a close (sub)stellar companion,” they write. “However, in all cases, other heavy elements would be detected alongside carbon in the UV spectrum of the white dwarf.” Astronomers would expect to find things like silicon, nitrogen, phosphorous, and sulfur would be present, depending on the accretion source.
After testing their data against all of these scenarios, they rejected all of them.
“We did not detect photospheric silicon or any heavy element other than carbon in the COS spectrum of WD 0525+526,” the authors concluded. “Therefore, all variants of the accretion scenario seem highly unlikely.”

Leave a Reply